杨振宁是如何建立成就他物理地位的杨米尔斯方程的,看此文就懂了
导读:杨振宁是如何建立成就他物理地位的杨米尔斯方程的,看此文就懂了。
杨-米尔斯(Yang-Mills)理论,是现代规范场理论的基础,20世纪下半叶重要的物理突破,旨在使用非阿贝尔李群描述基本粒子的行为,是由物理学家杨振宁和米尔斯在1954年首先提出来的。这个理论对今天的标准模型形成起了重要作用。这一理论中出现的杨-米尔斯方程是一组数学上未曾考虑到的极有意义的非线性偏微分方程。
首先我们还是对这两位科学家做一个简单的介绍吧。杨振宁,1922年10月1日出生于安徽合肥,世界著名物理学家,现任香港中文大学讲座教授、清华大学教授、美国纽约州立大学石溪分校荣休教授,他还是中国科学院院士、美国国家科学院院士、台湾“中央研究院”院士、俄罗斯科学院院士、英国皇家学会会员,1957年获诺贝尔物理学奖;是中美关系松动后回中国探访的第一位华裔科学家,积极推动中美文化交流和中美人民的互相了解;在促进中美两国建交、中美人才交流和科技合作等方面,做出了重大贡献。

而另一位科学家全名是罗伯特·劳伦斯·米尔斯(英文:Robert Laurence Mills,1927年4月15日-1999年10月27日),美国物理学家,生于新泽西州恩格尔伍德。1956年成为俄亥俄州立大学的物理学教授。主要贡献是与杨振宁合作的杨-米尔斯理论。
1954年,杨—Mills规范场论(即非阿贝尔规范场论)发表。这个当时没有被物理学界看重的理论,通过后来许多学者于20世纪60年代到20世纪70年代引入的自发对称破缺观念,发展成标准模型。这被普遍认为是20世纪后半叶基础物理学的总成就。
杨振宁和Mills的论文,从数学观点讲,是从描述电磁学的阿贝尔规范场论到非阿贝尔规范场论的推广。而从物理观点上讲,是用此种推广发展出新的相互作用的基础规则。
在主宰世界的4种基本相互作用中,弱电相互作用和强相互作用都由杨—Mills理论描述,而描述引力的爱因斯坦的广义相对论也与杨—Mills理论有类似之处。杨振宁称此为“对称支配力量”。杨—Mills理论是20世纪后半叶伟大的物理成就,杨—Mills方程与Maxwell方程、Einstein方程共同具有极其重要的历史地位。

很抱歉,没有找到一张关于罗伯特·劳伦斯·米尔斯照片,他由于后来没有其他的理论发现,所以没有杨振宁知名。但是我们依然不应该忘记他。
通过上面的介绍,大家知道了,杨—米尔斯理论也是一个非线性波动方程。这个很重要。那么这个理论最初是为了解决上面问题呢?它起源于对电磁相互作用的分析,利用它所建立的弱相互作用和电磁相互作用的统一理论,已经为实验所证实,特别是这理论所预言的传播弱相互作用的中间玻色子,已经在实验中发现。
杨-米尔斯理论又为研究强子(参与强相互作用的基本粒子)的结构提供了有力的工具。
杨振宁和米尔斯发现,量子物理揭示了在基本粒子物理与几何对象的数学之间的令人注目的关系。基于杨-米尔斯方程的预言已经在如下的全世界范围内的实验室中所履行的高能实验中得到证实:布罗克哈文、斯坦福、欧洲粒子物理研究所和筑波。

尽管如此,他们的既描述重粒子、又在数学上严格的方程没有已知的解。特别是没有被大多数物理学家所确认,并且在他们的对于“夸克”的不可见性的解释中应用的“质量缺口”假设,从来没有得到一个数学上令人满意的证实。在这一问题上的进展需要在物理上和数学上两方面引进根本上的新观念。
不知道大家发现没有,看过我物理科普书籍《变化》的朋友一定会想到爱氏的场方程的。爱氏场方程也是很难有确切解,也是非线性波动方程。这和杨—米尔斯理论有很大的相似之处。
一贯的想法让我不认为这是偶然,所有描述最根本的宇宙方程,都显示了其深刻的波动性,开放性。这对于前面我们提到的诸多定律,比如波粒二象性,不确定原理等,都有深刻影响。
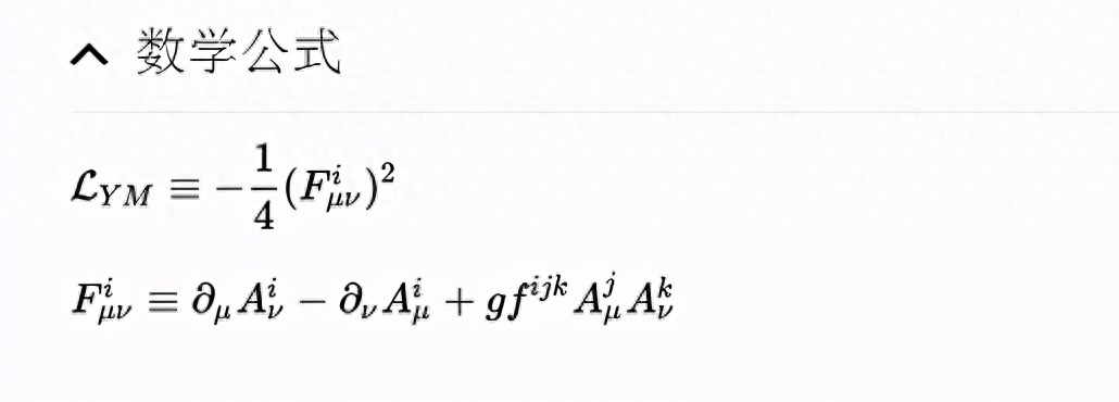
一起来看看这个方程吧,虽然我们看不懂它。但看和不看是两个概念。一直不看,永远看不懂。

再发一个爱氏的场方程大家看看。关于爱氏场方程的基本认识,大家可以去看看我的《变化》,会有启发的。

有一点值得一提,那就是杨振宁的杨—米尔斯理论和爱氏的相对论,都影响很大,但两个人都没有因此获得诺贝尔奖。两个人都是因为其他理论获得诺贝尔奖的。杨是因为和李政道提出“弱相互作用中宇称不守恒理论”而获奖。爱氏是因为光电效应理论获奖。
大家也看到了,由于这个理论的方程是非线性波动方程,所以方程没有能力为大家讲,这也是世界性难题。期待中国的学生,多去研究。
不过为了让大家理解这个理论,还要补充的。上面说了,杨振宁和Mills的论文,从数学观点讲,是从描述电磁学的阿贝尔规范场论到非阿贝尔规范场论的推广。
非阿贝尔规范场是为了描述原子核里的核子们(当时认为就是质子和中子)为什么会被紧紧拉在一起,而不会被正电之间强烈的排斥力而炸开(质子们带正电,是互相排斥的),而设想的一种作用力场。
电磁力是由电磁场传播的。电荷及其运动所形成的电流产生了电磁场,场传出去后可以作用在远处电荷和电流上。于是,杨振宁和Mills也设想了一种类似电磁场的别的场来传递核力,那就是非阿贝尔规范场。

这个设想看似容易,其实很难。最重要的是,杨振宁和Mills此时极大地推广了场和荷的含义。他们设想了一种更为复杂的荷(当然不能再叫电荷了)和它们所产生的场:这些荷和场都不是普通的实数能表示的,它们是一些矩阵。矩阵的乘法是不能交换的,这种乘法的不交换性叫“非阿贝尔”的,因此也叫非阿贝尔规范场。对那些学过物理的人应该说明的是,学过量子力学的人知道,量子理论里力学变量可以表示成矩阵。但这里说的场和荷表示成矩阵不是由于量子化的结果,而是在经典物理的意义上它们就是矩阵。
杨-Mills的那篇文章是1954年发表的。那时这个理论中还有几个关键的问题不能解决(比如质量问题,量子化和重整化之类,这是些更为专业的名词,只有研究这个方向的理论物理博士们才学的)。而且在随后的六十年代,物理学界对于用场的观点描述核力是较为悲观的,那时别的观点在物理学家中占主流。
不过后来,经过几位物理学家近二十年左右的持续探索,解决了所有原来不能解决的问题。而且,后来找到了别的不同的荷(当时还不知道呢)分别能产生强力和弱力(核力就分这两种力)。但它们用的数学形式都是类似的,都是杨-Mills理论。
不同的是其中矩阵的大小不一样:有2乘2的、有3乘3的;如果所用的矩阵是1乘1的,那它就是以前的法拉第和麦克斯韦的电磁理论。到了七十年代末,就知道自然界的所有基本作用力--引力,电磁力,弱力,强力中,除引力外的其它三种力都能用杨-Mills场描述。 这就是可以看出这个理论对物理学的影响有多大了。
杨振宁和Mills所设想的那种古怪的荷叫做同位旋。他们把描述电磁场的麦克斯韦理论做了一个优美而且深刻的推广,得到一个新方程,后来就叫杨-Mills方程。当然比麦克斯韦方程普遍得多也复杂得多了。至于推广的方法,是依据了一个来自电磁理论的原理,叫做“定域规范不变原理”。这个我会在下一章给大家做介绍。

其实过程是这样,杨振宁从外尔的工作受到启发,即外尔通过规范不变性建立了U(1)群,轻松地得到了麦克斯韦方程,杨振宁就想着,我能不能通过一种规范群来解释强力,弱力,甚至引力。那么首先要找到规范对称性,杨振宁发现强相互作用具有同位旋空间下的旋转不变性,这不就是一种规范对称性吗?这个“同位旋”概念比较抽象,它是海森堡提出来的一个想法,大概就是认为中子和质子是一回事,即质子和中子压根就是同一种粒子-核子的两种不同的状态,它们共同组成了一个同位旋二重态。在抽象的同位旋空间里,质子可以“旋转”成为中子,中子也可以“旋转”成为质子,因为质子和中子在强相互作用下是一样的。那么要用这个同位旋守恒来解释强相互作用,就需要SU(2)群有局域规范不变性。
要把SU(1)推广到SU(2)首先要解决非阿贝尔规范问题。阿贝尔指的是阿贝尔群(以挪威的天才数学家阿贝尔命名,他最著名的一个理论是首次完整给出了高于四次的一般代数方程没有一般形式的代数解的证明。这个问题是他那时最著名的未解决问题之一,悬疑达250多年。),它又叫交换群,通俗的讲就是这个群里的运算是满足交换律的。比如1+5等于5+1。非阿贝尔群自然就是指群的运算不满足交换律的群,最常见的就是矩阵的乘法。

这里值得单独说说阿贝尔,尽管阿贝尔成就极高,却在生前没有得到认可,他的生活非常贫困,去世时只有27岁。正是风华正茂啊,可惜了!
凡是读我这本的书的人,你们一定要记住他,他的故事,因为我在教给你们一个道理——你们要记住自己!不要想着长命百岁,去想着活得精彩。
阿贝尔(Niels Henrik Abel,1802年8月5日─1829年 4月 6日)是十九世纪挪威出现的最伟大数学家。他的父亲是挪威克里斯蒂安桑主教区芬杜小村庄的牧师,全家生活在穷困之中。在1815年,当他进入了奥斯陆的一所天主教学校读书,他的数学才华便显露出来。经他的老师霍尔姆伯的引导下,他学习了不少当时的名数学家的著作,包括:牛顿(Newton)、欧拉(Euler)、拉格朗日(Lagrange)及高斯(Gauss)等。他不单了解他们的理论,而且可以找出他们一些微小的漏洞。
1820年,阿贝尔的父亲去世,照顾全家七口的重担突然交到他的肩上。虽然如此,1821年阿贝尔通过霍姆彪的补助,仍可进入奥斯陆的克里斯蒂安尼亚大学 (University of Christinania),即奥斯陆大学就读,于1822年获大学预颁学位,并由霍姆彪的资助下继续学业。在学校里,他几乎全是自学,同时花大量时间作研究。
1823年当阿贝尔的第一篇论文发表后,他的朋友便力请挪威政府资助他到德国及法国进修。当等待政府回复时,在1824年他发表了他的《一元五次方程没有代数一般解》的论文,渴望为他带来肯定地位。论文不仅以数万字的内容代替了鲁菲尼【也是一位数学家】五百多页的证明,甚至还做了许多的补充。
可是他实在付不起印刷的钱,于是数万字的论文稿再次被压缩成6页纸。阿贝尔将这6页论文寄往各地著名的数学家,希望能够得到肯定。其中他把论文寄了给当时有名的数学家高斯,可惜高斯错过了这篇论文,也不知道这个著名的代数难题已被解破。
阿贝尔苦苦等待,却得不到回复。所幸一年前发表的第一篇论文为他争取到了一笔政府的进修资助金。阿贝尔带上这笔钱,开始造访各地名家,他在德国柏林拜访数学王子高斯时,遇到了一生挚友克列尔。
高斯根本不相信阿贝尔能够用6页解答这个超级数学难题,只有克列尔感到十分地惊喜。克列尔是个土木工程师,而且对数学很有热诚,他跟阿贝尔成为很要好的朋友。1826年,在阿贝尔的鼓励下,克列尔创立了一份纯数学和应用数学杂志,该杂志的第一期便刊登了阿贝尔在五次方程的工作成果,另外还有方程理论、泛函方程及理论力学等的论文。在柏林,新的数学向导使他继续独立地进行研究工作,后来阿贝尔更到了欧洲不同的地方。

高斯
1826年夏天,他在巴黎造访了当时最顶尖的数学家,并且完成了一份有关超越函数的研究报告。这些工作展示出一个代数函数理论,现称为阿贝尔定理,而这定理也是后期阿贝尔积分及阿贝尔函数的理论基础。他在巴黎被冷落对待,他曾经把他的研究报告寄去科学学院,望可得到好评,但他的努力也是徒然。他在离开巴黎前染顽疾,最初只以为只是感冒,后来才知道是肺结核病。
无奈,他辗转回到挪威,但欠下不少钱债。他只好靠教书及收取大学的微薄津贴为生。但他的穷困及病况并没有减低他对数学的热诚,他在这段期间写了大量的论文,主要是方程理论及椭圆函数,也就是有关阿贝尔方程和阿贝尔群的理论。他比雅可比(Jacobi)更快完成了椭圆函数的理论。此时,阿贝尔的名声经已响遍所有的数学中心,各方面的人也希望为他找到一个适当的教授席位,当中克列尔便希望为他在柏林找得一个教授席位。
在1828年冬天,阿贝尔的病逐渐严重起来。在他圣诞节去芬罗兰探他的未婚妻克莱利·肯姆普期间,病情便更恶化。到1829年1月时,他已知自己寿命不长,出血的症状已无法否认。直至1829年4月6日凌晨,阿贝尔去世了,他的未婚妻坚持不要他人之助照顾阿贝尔,单独占有这最后的时刻。

左图为阿贝尔未婚妻克莱利·肯姆普。
葬礼后的第三天,阿贝尔的家人收到了他生前的好友克雷尔寄自柏林的一封信及一份柏林大学的聘书,上面写着:“尊敬的阿贝尔先生:本校聘您为数学教授,望万勿推辞为幸!柏林大学。”
阿贝尔去世后,他的老师霍尔姆伯于1839年为他出版了文集。
继续回到文章标题来,杨振宁的推广工作并不是一帆风顺,直到1954年,他才和米尔斯(当时和杨振宁先生在同一间办公室,是克劳尔教授的博士研究生)一起写出了划时代的论文《同位旋守恒和同位旋规范不变性》和《同位旋守恒和一个推广的规范不变性》,就是这两篇论文,奠定了他的物理学宗师地位。
有的物理学家指出,物理学基本定律可以写在一件文化衫上(意思是很简洁)。从牛顿时代开始,物理的主要目标就是描述物质结构、相互作用和运动规律。随着物理学的发展,这个简单的目标又进一步被简化了。因为后来知道物质其实也是场,不过是所谓的“量子场”的一种。因此物理学最基本的定律就是描述各种场的运动和它们之间的作用。现在如果要做那样一件物理学文化衫的话,可以肯定地说,杨-Mills方程是一定应该写上的。

有些人提出这类质疑:有的说杨-Mills理论后面的很多进展不是他们做的,是别的物理学家做的,怎么还说他们的贡献那么大。还有的说杨-Mills方程最初的出发点是“错的”,怎么还说那么重要。
前一类疑问很容易解释。确实杨-Mills理论在物理上取得这么大的成功,包括了前后好多位物理学家的贡献。如希格斯,温伯格,南部一郎盖尔曼等。其中好几位得到了诺贝尔奖。
还有数学家,如量子化杨-Mills场的俄国数学家Faddeev和Popov,他们也没得诺贝尔奖,同样杨振宁也不是因为提出杨-Mills场得的诺贝尔奖。
如此多人的贡献,如果整个是由一个人作出来的,那他的成就和爱因斯坦一样大了,甚至可以说是超过爱因斯坦!爱因斯坦曾经以一人之力建立了相对论。其它的物理理论,如量子力学,特别是后来的量子场论,都是由很多人,有时是经过几代人很多年的持续努力才建立起来的。
杨-米尔斯理论给我们提供了一个数学框架和思维,在这个框架里,只要选择了某种对称性,后面的相互作用几乎就被完全确定了,它的规范玻色子的数目也完全被确定了。这就是为什么后来大家能直接从强力和弱电理论里预言那么多还未被发现的粒子的原因。

也就是说,在杨-米尔斯理论里,那些传递相互作用的粒子都叫规范玻色子,每一个群都有跟他对应的规范玻色子。比如在U(1)群里,规范玻色子就只有一个,那就是光子;在SU(3)群里,理论计算它的规范玻色子不多不少就是8个,然后实验物理学家就根据这个去找,然后真的就找到了8种胶子。
不过最终解释强相互作用的不是同位旋,而且色荷。因为夸克这个概念要到1964年才由盖尔曼、茨威格提出来,杨振宁在1954年就算想破脑袋也不可能想到强力是由夸克的色对称决定的。
后来科学家们也是通过这种思维,将弱力和电磁力统一起来,就是前面提到的电弱统一理论。
此外,关于杨—米尔斯理论这个方程的数学性质的研究至今还是国际上悬赏最高的几个数学问题之一。比如你可以搜索“千禧数学问题”,它们是美国克雷数学研究所于2000年公布的七个数学难题。根据克雷数学研究所订定的规则,每解破一题奖金100万美元。这几个问题是:
1、P/NP问题。2、霍奇猜想
3庞加莱猜想。4、黎曼假设
5、杨-米尔斯存在性与质量间隙
6、纳维-斯托克斯存在性与光滑性
7、贝赫和斯维讷通-戴尔猜想
第五个是杨米尔斯问题的质量问题,大概就是传递强力和弱力的玻色子应该是有质量的,有质量才能对应短程力。比如光子没有质量才是长程力,引力子【没有发现】也是没有质量,才是程力。矛盾就出来了,杨振宁这个理论,要使得系统具有局域规范不变性,传递作用力的规范玻色子的质量就必须为零。哈哈,大家看出来矛盾了吗?

杨振宁先生怎么可能不知道这个矛盾呢?但他认为这是技术上的事情,一定能解决,所以还是果断发表了自己的理论。后来大家就知道了,解决这个问题的是希格斯机制。杨-米尔斯理论要求规范玻色子是零质量的,但是最后我们测量到W和Z玻色子是有质量的,我们想办法赋予它质量不就行了?也就是说它们的质量不是天生的而是后天赋予的,这样就既不与杨-米尔斯理论相冲突,也不跟实际测量相冲突了。
上面7个解决其中任何一个问题,你就是拥有最强大脑的人物。知识改变命运,从来不是一句谎言。你相信它,它才能改变你。

摘自独立学者,科普作家灵遁者科普书籍《见微知著》





















